

- 銷售熱線:
- 銷售熱線:
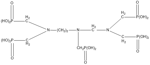
二乙烯三胺五甲叉膦酸DTPMPA
CAS No. 15827-60-8
別名:二(er)乙烯三胺五亞甲基(ji)膦酸;DETPMP;二亞乙基(ji)三氨基(ji)五甲基(ji)磷(lin)酸(suan);
分子式 C9H28O15N3P5 相對分子(zi)質量:573.2
一、性能與用途
DTPMPA無毒,易溶于酸性溶液中,阻垢緩蝕效果俱佳且耐溫性好,可抑制碳酸鹽、硫酸鹽垢的生成,在堿性環境和高溫下(210℃以上)阻垢緩蝕性能較其它有機膦好。DTPMPA在水處理中用作循環冷卻水和鍋爐水的阻垢緩蝕劑,特別適用于堿性循環冷卻水中作為不調pH的阻垢緩蝕劑,并可用于含碳酸鋇高的油田注水和冷卻水、鍋爐水的阻垢緩蝕劑;在復配藥劑中單獨使用本品,無需投加分散劑,污垢沉積量(liang)仍很小(xiao)。
DTPMPA也可用作過氧化物穩定劑(特別是高溫條件下雙氧水穩定效果好)、紡織印染用螯合劑、顏料的分散劑、氧脫(tuo)木素穩定劑、化(hua)肥中微(wei)量元素攜帶劑、混(hun)凝土添(tian)加劑。此外,在造紙、電(dian)鍍、金屬(shu)酸(suan)洗和(he)化(hua)妝品(pin)等方面(mian)也得到了(le)廣泛應用。還可(ke)作(zuo)氧化(hua)性殺菌劑的(de)穩定劑。
二、技術指標 符合HG/T 3777-2023
項 目 | 指 標 |
HG/T 3777-2023 | |
外 觀 | 棕黃色或棕紅色粘稠液體 |
活性組分/% | ≥ 50.0 |
鈣螯合劑(以CaCO3計) / (mg/g) | ≥ 450 |
亞磷酸(以PO33-計)/% | ≤3.0 |
氯化物(以Cl-計)/% | 14.0~17.0 |
鐵(以Fe)含量/(μg/g) | ≤ 20.0 |
pH值(10 g/L 水溶液) | ≤ 2.0 |
密度(20℃)/(g/cm3) | ≥ 1.35 |
三、使用方法
DTPMPA作阻垢劑一般使用濃度1~30mg/L,作清洗劑一般使用濃度1000~2000mg/L;通常與聚羧酸型阻垢分散劑配合使(shi)(shi)用(yong)(yong)。在(zai)其他行業(ye)使(shi)(shi)用(yong)(yong)時,應根(gen)據試驗(yan)確定 用(yong)(yong)量。
四、包裝與貯存
DTPMPA用(yong)塑料桶包(bao)裝,每桶30kg或根據用(yong)戶需(xu)要確定。貯于室內(nei)陰涼處(chu),貯存期為十二個月。
五、安全防護
DTPMPA為酸性,操作時注意勞動保護(hu),應避免與皮膚(fu)、眼睛等接觸,接觸后用大量清水沖洗。
地址:山東省棗莊市市中區十里泉東路1號 網址://www.ringboss.cn E-mail:
版權所有© :2006-2021 山東泰和科技股份有限公司 魯ICP備09091669號-43